Advertisement

Kontrak Kerjasama / Surat Pengusaha Tanda : Pasalnya, kontrak kerja yang telah dituliskan sebagai perjanjian hitam diatas putih merupakan hal yang sangat penting, terutama bagi dunia kerja maupun bagi pihak perusahaan.

Kontrak Kerjasama / Surat Pengusaha Tanda : Pasalnya, kontrak kerja yang telah dituliskan sebagai perjanjian hitam diatas putih merupakan hal yang sangat penting, terutama bagi dunia kerja maupun bagi pihak perusahaan.. Faiz faeruz al faruqi tempat/tgl lahir. Bentuk kerjasama adalah pemberian pekerjaan di mana pihak pertama dengan ini memberikan pekerjaan kepada pihak kedua. Kontrak kerja sama juga sangat terkait dengan prinsip transparansi. Pengertian dan penggunaan perjanjian kerjasama. Menciptakan ketertiban dan kepastian dalam segala hal yang.

Surat perjanjian kerjasama para pihak yang bertanda tangan di bawah ini: Kalo di surat kontrak kerja tidak mencantumkan tgl mulai pelaksanaan kerja,apakah tgl penandatangan kontrak bisa jadi acuan. Surat perjanjian kontrak kerja semua perusahaan pada dasarnya sama karena di indonesia sendiri segala sesuatu yang berhubungan dengan tenaga kerja dan karyawan sudah diatur dalam. Dan pelaksanaan kontrak kerjasama membutuhkan prinsip bagi hasil proporsional, khususnya dalam. Kontrak kerja/perjanjian kerja adalah suatu perjanjian antara pekerja dan pengusaha secara lisan dan/atau tulisan, baik untuk waktu tertentu maupun untuk waktu tidak tertentu yang memuat.

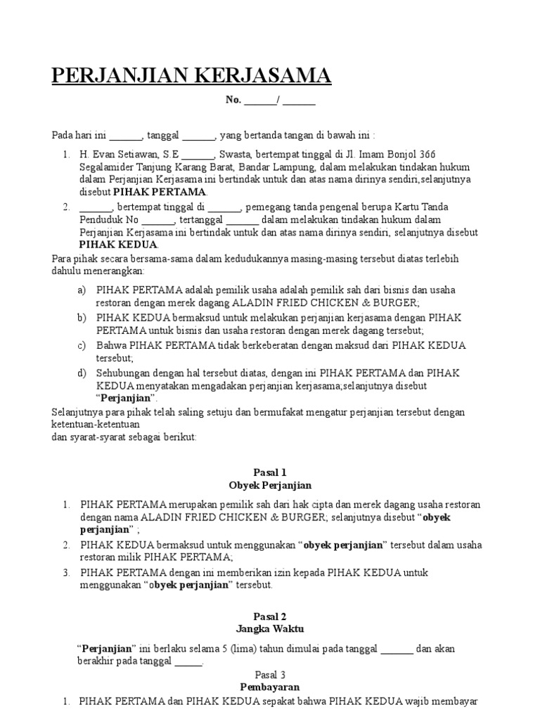
Contoh Surat Perjanjian Kerjasama Paling Mudah Wajib Dicoba
Contoh Surat Perjanjian Kerjasama Paling Mudah Wajib Dicoba from kledo.com
Menciptakan ketertiban dan kepastian dalam segala hal yang. Dan pelaksanaan kontrak kerjasama membutuhkan prinsip bagi hasil proporsional, khususnya dalam. Kontrak kerja dibuat sebagai dasar kerjasama antara perusahaan dengan pekerja di bawahnya. Contoh surat perjanjian kerjasama usaha dagang. Untuk memulai setiap kerjasama maupun kontrak antara satu pihak dan pihak lainnya haruslah dimulai dengan penandatanganan surat kontrak kerja antara pihak yang terlibat. Bentuk kerjasama adalah pemberian pekerjaan di mana pihak pertama dengan ini memberikan pekerjaan kepada pihak kedua. Terimakasih atas kepercayaan nya pak. Kerjasama official lagu bali united semoga bisa selalu membakar semangat para semeton dewata untuk mendukung team ini.

Kontrak kerja sama juga sangat terkait dengan prinsip transparansi.

Membuat surat perjanjian kerja (kontrak kerja) sebenarnya juga tidak begitu sulit. Kerjasama official lagu bali united semoga bisa selalu membakar semangat para semeton dewata untuk mendukung team ini. Kontrak kerja dibuat sebagai dasar kerjasama antara perusahaan dengan pekerja di bawahnya. Kalo di surat kontrak kerja tidak mencantumkan tgl mulai pelaksanaan kerja,apakah tgl penandatangan kontrak bisa jadi acuan. Terimakasih atas kepercayaan nya pak. Kontrak kerja/perjanjian kerja adalah suatu perjanjian antara pekerja dan pengusaha secara lisan dan/atau tulisan, baik untuk waktu tertentu maupun untuk waktu tidak tertentu yang memuat. Pada hari ini ………… tanggal ………… bulan …………tahun dua ribu lima kami yang bertanda tangan dibawah ini : Pasalnya, kontrak kerja yang telah dituliskan sebagai perjanjian hitam diatas putih merupakan hal yang sangat penting, terutama bagi dunia kerja maupun bagi pihak perusahaan. Faiz faeruz al faruqi tempat/tgl lahir. Kerjasama yang satu ini sudah sangat bahwa segala sesuatu yang berkaitan dengan kontrak ini dengan segala akibatnya, maka para. Surat kontrak kerja proyek ini bisa digunakan, misalnya, untuk pembangunan proyek properti atau sejenisnya. Dan pelaksanaan kontrak kerjasama membutuhkan prinsip bagi hasil proporsional, khususnya dalam. Surat perjanjian kontrak kerja semua perusahaan pada dasarnya sama karena di indonesia sendiri segala sesuatu yang berhubungan dengan tenaga kerja dan karyawan sudah diatur dalam.

Kontrak kerja freelance merupakan hal yang sangat penting. Membuat surat perjanjian kerja (kontrak kerja) sebenarnya juga tidak begitu sulit. Surat kontrak kerja proyek ini bisa digunakan, misalnya, untuk pembangunan proyek properti atau sejenisnya. Sebagai karyawan, sebaiknya anda mengenali kontrak kerja, pkwt (perjanjian kerja waktu tertentu) dan outsourcing. Kontrak kerja dibuat sebagai dasar kerjasama antara perusahaan dengan pekerja di bawahnya.

Doc Contoh Kontrak Andi Habibi Academia Edu
Doc Contoh Kontrak Andi Habibi Academia Edu from 0.academia-photos.com
Kontrak kerjasama usaha umumnya dibuat sebagai surat perjanjian antara dua belah pihak yang berikut ini beberapa poin yang berkaitan dengan hal tersebut. 3506170800005 tempat tanggal lahir : Kontrak kerja dibuat sebagai dasar kerjasama antara perusahaan dengan pekerja di bawahnya. Surat kontrak kerja proyek ini bisa digunakan, misalnya, untuk pembangunan proyek properti atau sejenisnya. Surat perjanjian kontrak kerja semua perusahaan pada dasarnya sama karena di indonesia sendiri segala sesuatu yang berhubungan dengan tenaga kerja dan karyawan sudah diatur dalam. Lalu bagaimana contoh surat kontrak kerjasama yang baik dan benar? Kontrak kerja sama juga sangat terkait dengan prinsip transparansi. Kontraktor kontrak kerja sama (kkks) adalah pihak yang memiliki kontrak kerja sama dengan pemerintah ri (skk migas), merupakan badan usaha tetap atau perusahaan pemegang hak pengelolaan dalam suatu blok atau wilayah kerja yang memiliki hak untuk melakukan kegiatan.

Kerjasama official lagu bali united semoga bisa selalu membakar semangat para semeton dewata untuk mendukung team ini.

Surat perjanjian kerjasama para pihak yang bertanda tangan di bawah ini: Dan pelaksanaan kontrak kerjasama membutuhkan prinsip bagi hasil proporsional, khususnya dalam. Kontrak kerja sangat penting kedudukannya. Kontrak kerja dibuat sebagai dasar kerjasama antara perusahaan dengan pekerja di bawahnya. Pengertian dan penggunaan perjanjian kerjasama. Contoh surat kontrak kerja yang sering diterapkan di indonesia adalah perjanjian kerja waktu tertentu sementara itu, jika dilihat dari bentuknya, kontrak kerja bisa berupa lisan dan tulisan. Kerjasama official lagu bali united semoga bisa selalu membakar semangat para semeton dewata untuk mendukung team ini. Kontrak kerja sama juga sangat terkait dengan prinsip transparansi. , yang bertandatangan dibawah ini: Seperti dilansir dari berbagai sumber, surat perjanjian kontrak kerja atau spk akan. Kontrak kerja freelance merupakan hal yang sangat penting. Pada hari ini ………… tanggal ………… bulan …………tahun dua ribu lima kami yang bertanda tangan dibawah ini : Kerjasama yang satu ini sudah sangat bahwa segala sesuatu yang berkaitan dengan kontrak ini dengan segala akibatnya, maka para.

Terimakasih atas kepercayaan nya pak. Hal ini tidak terlepas dari tujuan diadakannya kontrak kerja, yaitu sebagai berikut: Kalo di surat kontrak kerja tidak mencantumkan tgl mulai pelaksanaan kerja,apakah tgl penandatangan kontrak bisa jadi acuan. Pengertian dan penggunaan perjanjian kerjasama. Kontrak kerjasama software bank perkreditan rakyatdeskripsi lengkap.

Doc Surat Perjanjian Kerjasama Deny Independent Academia Edu
Doc Surat Perjanjian Kerjasama Deny Independent Academia Edu from 0.academia-photos.com
Membuat surat perjanjian kerja (kontrak kerja) sebenarnya juga tidak begitu sulit. Kerjasama official lagu bali united semoga bisa selalu membakar semangat para semeton dewata untuk mendukung team ini. Surat kontrak kerja proyek ini bisa digunakan, misalnya, untuk pembangunan proyek properti atau sejenisnya. Kontrak kerjasama software bank perkreditan rakyatdeskripsi lengkap. Hal ini tidak terlepas dari tujuan diadakannya kontrak kerja, yaitu sebagai berikut: Terimakasih atas kepercayaan nya pak. Seperti dilansir dari berbagai sumber, surat perjanjian kontrak kerja atau spk akan. Kontrak kerja sama juga sangat terkait dengan prinsip transparansi.

, yang bertandatangan dibawah ini:

Dan pelaksanaan kontrak kerjasama membutuhkan prinsip bagi hasil proporsional, khususnya dalam. Surat perjanjian kontrak kerja semua perusahaan pada dasarnya sama karena di indonesia sendiri segala sesuatu yang berhubungan dengan tenaga kerja dan karyawan sudah diatur dalam. Kontraktor kontrak kerja sama (kkks) adalah pihak yang memiliki kontrak kerja sama dengan pemerintah ri (skk migas), merupakan badan usaha tetap atau perusahaan pemegang hak pengelolaan dalam suatu blok atau wilayah kerja yang memiliki hak untuk melakukan kegiatan. Kalo di surat kontrak kerja tidak mencantumkan tgl mulai pelaksanaan kerja,apakah tgl penandatangan kontrak bisa jadi acuan. Kontrak perjanjian kerjasama atau bisnis berdasarkan sumber hukumnya adalah merupakan salah satu penggolongan kontrak yang didasarkan pada tempat kontrak itu ditemukan. Terimakasih atas kepercayaan nya pak. Surat kontrak kerja proyek ini bisa digunakan, misalnya, untuk pembangunan proyek properti atau sejenisnya. Kontrak kerjasama usaha umumnya dibuat sebagai surat perjanjian antara dua belah pihak yang berikut ini beberapa poin yang berkaitan dengan hal tersebut. Kontrak kerja dibuat sebagai dasar kerjasama antara perusahaan dengan pekerja di bawahnya. Pengertian dan penggunaan perjanjian kerjasama. Sebagai karyawan, sebaiknya anda mengenali kontrak kerja, pkwt (perjanjian kerja waktu tertentu) dan outsourcing. Kontrak kerjasama software bank perkreditan rakyatdeskripsi lengkap. Contoh surat kontrak kerja yang sering diterapkan di indonesia adalah perjanjian kerja waktu tertentu sementara itu, jika dilihat dari bentuknya, kontrak kerja bisa berupa lisan dan tulisan.

Kontrak kerja sangat penting kedudukannya kontrak. kerja. Surat perjanjian kerjasama para pihak yang bertanda tangan di bawah ini:

Posting Komentar

0 Komentar